“”平台成立于2021年8月,总部位于繁华的上海,注册资本高达2000万人民币,实缴资本为1372万人民币。该平台以“打造高品质、绿色环保的消费环境”为核心理念,迅速在本地生活服务领域崭露头角。旗下的自营商超品牌“比那多”更是这一理念的生动体现,为广大消费者带来了全新的消费体验。

“”平台通过线上商城“生活”小程序,为消费者提供了全方位的本地生活服务。无论是吃喝玩乐,还是游购娱,都能在这个平台上找到满意的选择。这种线上线下融合的商业模式,不仅满足了消费者的多元化需求,也为商家带来了更多的流量和商机。

值得一提的是,“”平台在成立短短的时间内,就实现了300亿+规模的交易流水,注册会员近500万人,成功带动了约4万家联盟商家的业绩提升。这一成绩无疑证明了“”模式的巨大潜力和市场价值。

二、商业模式板块
1. 品牌店铺加盟
商超的自营品牌“比那多”是高品质、绿色环保消费环境的代表。通过品牌店铺加盟,平台不仅为消费者提供了优质的商品和服务,也为加盟商提供了一个可靠的商业平台。

2. 异业联盟商圈
异业联盟商圈是平台的一大创新。通过跨行业、跨领域的资源整合与共享,平台极大地丰富了消费者的选择空间,并为商家开辟了全新的市场蓝海。这一模式不仅实现了资源共享,还促进了不同行业商家之间的互利共赢。

3. 区域服务中心
平台设立了115家代理服务中心,分为普通合伙人和有限合伙人,这些服务中心不仅为平台的运营提供了坚实的基础,也为合伙人提供了参与平台运营的机会。

4. 城市合伙人
城市合伙人制度是平台的另一大特色。通过推\广平台,城市合伙人不仅享受平台的业绩奖励,还能获得相应区域内一定比例的额外提成,这一制度极大地激励了合伙人的积极性。

三、绿色积分模式解析
1.消费者方面
消费者在平台消费后,会获得金币和积分。金币可以直接在商城兑换产品或服务,而积分则通过算法增值40期,zui 终获得5倍积分抵用券。这yiliu程不仅增加了消费者的购买动力,也为平台的持续增长提供了动力。

2.商家方面
商家通过平台消费,只需让\利10%-20%即可获得等量积分,并通过绑定支付码获得顾客后续积分5%的抵用券。这yiliu程不仅为商家带来了更多的客户,也为商家提供了额外的收益。

3. 积分与抵用券规则
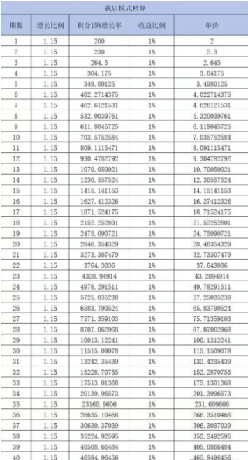
积分池中的积分在经过一定周期(如36~40个周期)后增值。积分可能会增长至zui 高5倍的价值。积分会根据市场情况、平台运营策略以及消费者的消费习惯等因素进行调整和增值。

平台还会定期将用户获得的积分逐步释放成消费券,用于兑换平台上的商品或服务以及线下商家的消费抵扣。如果积分比上期数量增长15%,就开启一期消费券的释放分\红。如果30天未达到增长,次日根据实际增长zui 少释放一次消费券。
这种灵活的积分和抵用券系统不仅提高了用户的消费体验,还为平台带来了更多的流量和收益。

4.积分转化抵用券举例
以商家A为例,假设其让\利比为20%,消费者在商家A消费了1000元。
这1000元中,200元作为让\利进入平台的结算中心,剩余800元次日到达商家账户。
消费者和商家A各自获得平台赠送的200积分。这些积分在后续的交易中可以通过AI算法释放成抵用券,用于消费抵扣。
平台从结算中心抽取一定比例的利润用于积分的分红。分红机制采用递增的方式,每期都会增加一定比例的分红给消费者和商家。这种机制确保了消费者和商家在平台上的持续参与和利益zui 大化,增强消费者的粘性。

| 成立日期 | 2018年04月23日 | ||
| 法定代表人 | 杨小花 | ||
| 注册资本 | 18002820787 | ||
| 主营产品 | 想要了解更多系统定制开发DAPP,小程序,app开发,其它电商分销模式等,都可以留言私信。 | ||
| 经营范围 | 软件定制开发 | ||
| 公司简介 | “”模式解析:绿色积分机制与商业生态的构建!在数字经济蓬勃发展与绿色消费理念日益深入人心的双重背景下,传统商业模式正经历着一场前所未有的深刻变革。消费者对线上线下无缝衔接购物体验的追求愈发强烈,加之绿色消费意识的广泛传播,催生了一个新兴商业模式——“”模式。一、“”模式概览“”平台由上海网络科技有限公司运营,该公司于2021年8月成立。据企查查信息显示,公司注册资本高达2000万元人民币,超越了上 ... | ||









