在数字经济时代,商业模式创新成为企业脱颖而出的关键。上海“”平台,一个以绿色积分模式为核心的创新型本地生活服务平台,短短几年内便实现了近200亿的流水,吸引了超过3万家商家入驻和500万注册用户。

客户实际月流3.2亿(模型)从1号到31号真实营业额

一、模式背景
平台总部位于上海,成立于2021年8月。据企查查数据显示,上海网络科技有限公司注册资本高达2000万人民币,远超上海市94%的同行,实缴资本为1372万人民币。自成立以来,平台凭借独特的绿色积分模式和线上线下融合策略,迅速在市场中占据了一席之地。

截止至今平台全\网会员数量已傲然突破500万大关,平台交易流水更是达到了惊人的200亿元里程碑。入驻商家数量也已超过6万3千家,平均每月新增入驻商家数量约5000家

模式凭借其独特的绿色积分机制和线上线下融合策略,成功打造了一个多方共赢、可持续发展的商业生态系统。该模式在消费者、商家和平台等多个层面展现出了显著的优势。它不仅满足了消费者的日常需求,还通过积分奖励机制激发了消费者的购物热情,降低了商家的运营成本,提高了商家的收益。

二、绿色积分模式机制
(一)消费者端
1.积分获取
在“”平台上,消费者在购买商品时可以获得与消费金额等额的积分奖励。积分通过特定的 AI 算法经过 36 期至 40 期的增值过程后,积分zui 终可获得 5 倍的增值,转化为抵用券(通证)。这种积分奖励制度极大地激发了消费者的购物热情,使他们更愿意在平台上进行消费。

2.消费循环
抵用券在平台和合作商家处等同于零钱或现金,使用抵用券后还可产生新的积分,继续参与后续的分\红。这种循环机制就像一个永动机,不断激励消费者在平台上进行更多的消费。这为消费者提供了一种直接的消费回馈方式,增强了消费者对平台的好感度和粘性。
3.平台服务政策
按100万积分为第一期,10天内达到15%增长,第11天发放抵用券
10到30天内达到15%增长,次日发放抵用券;30天未达到15%增长,31天发放(按实际增长)
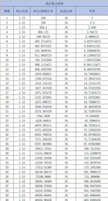
积分增值算法解析:如图所示
(二)商家端
1.自主设定让\利比例
在“”平台上,商家免费入驻平台,不需要任何押金。商家可以根据自己的实际情况,自主设定3%至20%的让\利比例。这部分让\利将自动转化为积分奖励给消费者,商家也能获得等额的积分。这种自主设定让\利比例的方式,使得商家能够根据自己的经营情况和市场需求进行灵活调整,从而实现利润zui 大化。

2.积分获取
商家不仅让\利获得积分,若顾客线下扫码引流到平台的,可通过支付码绑定关系,并获得该顾客后续所获积分5%的抵用券。这一机制极大地激励了商家积极参与平台的推广活动
| 成立日期 | 2018年04月23日 | ||
| 法定代表人 | 杨小花 | ||
| 注册资本 | 18002820787 | ||
| 主营产品 | 想要了解更多系统定制开发DAPP,小程序,app开发,其它电商分销模式等,都可以留言私信。 | ||
| 经营范围 | 软件定制开发 | ||
| 公司简介 | “”模式解析:绿色积分机制与商业生态的构建!在数字经济蓬勃发展与绿色消费理念日益深入人心的双重背景下,传统商业模式正经历着一场前所未有的深刻变革。消费者对线上线下无缝衔接购物体验的追求愈发强烈,加之绿色消费意识的广泛传播,催生了一个新兴商业模式——“”模式。一、“”模式概览“”平台由上海网络科技有限公司运营,该公司于2021年8月成立。据企查查信息显示,公司注册资本高达2000万元人民币,超越了上 ... | ||









